Friday, 10 Apr 2026, 5:09 AM
MY PHYSICS CLASS
Welcome Guest | RSS
Site menu
Section categories
Tugas Kelompok [1]
Tugas Individu [0]
Remidi Online [0]
Quiz Online [0]
Module Materi Fisika [44]
Module Soal Fisika [3]
Student's Site
Geo Counter
widgeo.net
My Visitors
Powered by MyPagerank.Net
Our poll
Tampilan web ini bagaimana?
Total of answers: 119
Statistics

Total online: 1
Guests: 1
Users: 0
Login form
Lencana Facebook
Neny Else | Buat Lencana Anda
Main » 2010 » October » 21 » Pengisian Kapasitor
9:56 PM
Pengisian Kapasitor
Pada saat pengisian kapasitor diperlukan sebuah sumber tegangan konstan (Vin) yang digunakan untuk menyuplai muatan ke kapasitor dan sebuah resistor yang digunakan untuk mengatur konstanta waktu pengisian (τ) serta membatasi arus pengisian.

Pada rangkaian pengisian kapasitor disamping, saat saklar (S) ditutup maka akan ada arus yang mengalir dari sumber tegangan (Vin) menuju ke kapasitor. Besarnya arus ini tidak tetap karena adanya bahan dielektrik pada kapasitor. Arus pengisian akan menurun seiring dengan meningkatnya jumlah muatan pada kapasitor, dimana Vc≈Vin saat i=0.

Secara umum, rumus pengisian kapasitor untuk tegangan dan arus dapat dinyatakan seperti berikut :
  • tegangan kapasitor saat t detik

    apabila sebelum pengisian tidak terdapat adanya tegangan awal pada kapasitor, Vc(0)=0V, maka persamaan diatas menjadi :
  • arus pengisian setelah t detik
Apabila digambarkan dalam grafik maka tegangan dan arus pada pengisian kapasitor akan membentuk grafik eksponensial seperti berikut.


Berdasarkan rumus pengisian kapasitor untuk tegangan, bisa didapat pula hubungan antara waktu pengisian terhadap persentase tegangan pada kapasitor yang dinyatakan dalam tabel berikut
tVc
00
0,7RC50%
RC63%
2RC86,5%
3RC95%
4RC98,2%
5RC99%

Contoh soal :
Berdasarkan pada rangkaian pengisian kapasitor diatas, dimana :
tegangan pengisian (Vin) = 12 V
hambatan (R) = 5 kΩ
kapasitor (C) = 100 μF
Tentukan :
a. Konstanta waktu pengisian (τ)
b. Arus awal yang mengalir pada rangkaian (io)
c. Tegangan dan arus kapasitor (Vc) setelah saklar ditutup selama 10 ms
d. Waktu pengisian yang dibutuhkan agar tegangan kapasitor (Vc) terisi 50%nya
e. Waktu pengisian yang dibutuhkan agar tegangan kapasitor (Vc) = 10V

Penyelesaian :
  1. Konstanta waktu pengisian (τ)
  2. τ = RC = (5 kΩ)(100 μF) = 0.5 s
  3. Arus awal yang mengalir pada rangkaian (io)
  4. Tegangan pada kapasitor saat saklar ditutup selama 10 ms


  5. Waktu pengisian yang dibutuhkan agar tegangan kapasitor (Vc) terisi 50%nya
  6. Dari tabel hubungan antara waktu pengisian terhadap persentase tegangan pada kapasitor dapat diketahui bahwa tegangan pada kapasitor akan terisi 50% saat t=0,7RC, yaitu :
    t = 0,7(5kΩ)(100μF) = 0,35s = 350ms
    Atau dengan cara lain,
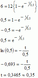
    tegangan pada kapasitor terisi 50% ≈ 12V/2 ≈ 6V


  7. Waktu pengisian yang dibutuhkan agar tegangan kapasitor (Vc) = 10V


Sumber : Yosmedia


Category: Module Materi Fisika | Views: 2425 | Added by: neny | Tags: Духовный центр тюрков «Кина Алтай», Скачать музыку к проектам для after | Rating: 0.0/0
Total comments: 0
Name *:
Email *:
Code *:
Search
Save as PDF
Translate This Web
Clock
Calendar
«  October 2010  »
Su Mo Tu We Th Fr Sa
     12
3456789
10111213141516
17181920212223
24252627282930
31
Entries archive
My Slide Boom
Yahoo PingBox
My Personal Site

My Physics Web Blog ¦ Media Pembelajaran Interaktif ¦ Physics Class ¦ About Me ¦
My Best Friends

Blog Aries Smadda ¦ Web Aries Smadda ¦ Mazguru ¦ Heru Suseno ¦ Web Teteh TienKa ¦ Blog Teteh TienKa ¦ Web IKetutSamudra ¦ Blog IKetutSamudra ¦
Mutiara Kata
Copyright Neny Else © 2026